Mountain Project Logo

History and reasoning behind gear ratings

Original Post
Bob Johnson · · Philadelphia, PA · Joined May 2014 · Points: 237

I'm trying to track down some documentation about where gear ratings come from. For example, the UIAA specifies that the maximum impact force for a climbing rope not exceed 12 kN upon the first drop in the standard UIAA drop test. I'm interested to know if anyone has come across some climbing-specific documentation that talks more about where that number comes from in detail.

Also, all carabiners must have a minimum breaking strength of 20 kN when the load is applied directly to their spine. Presumably, this rating is closely related to the ratings of climbing ropes. Due to the pulley effect on the top piece, if the climbing rope is under 12 kN of tension, there will be 24 kN applied to that top piece. So it makes sense that carabiners and slings need to be rated for much higher. Am I correct to conclude that the ratings for virtually all other gear (carabiners, harnesses, belay loops, etc.) is mostly determined by what typical forces will be created in the climbing rope?

Petzl has a short statement here: petzl.com/US/en/Sport/How-w…;Familly=Ropes

I have waded through a fair number of sources on measurements regarding how the human body tolerates forces. A lot of it comes from the military and aerospace industry. There are some nice sources that I found cited here: en.wikipedia.org/wiki/G-force

Of course, how the human body responds to the force depends on the magnitude of the force, how long it is applied and where it is applied. So it seems that 12 kN is somewhat arbitrary, but it is informed by science. Does anyone know of some sources that talk about how the climbing community decided upon these specific numbers?

Jim Titt · · Germany · Joined Nov 2009 · Points: 490

The 12kN comes from military tests on parachute harnesses and the rest follows on from there but then modified in the light of experience and practicability/material developments etc. Basically there is a fundamental safety chain which is altered in light of experience.
There's a paper on the subject in the UIAA archive from a talk given at one of the annual congresses.

F Loyd · · Kennewick, WA · Joined Mar 2018 · Points: 808
This is what you need..

Edit: Google "survivable impact forces on human body constrained by full body harness" and the pdf should be the first link.

Bob Johnson · · Philadelphia, PA · Joined May 2014 · Points: 237

Thanks for the link!

@Jim Titt do you know where that paper is located? It seems that the UIAA archive only goes back to 2017

Andy Eiter · · Madison, WI · Joined Jul 2014 · Points: 276
F loyd wrote: This is what you need..
Edit: Google "survivable impact forces on human body constrained by full body harness" and the pdf should be the first link.

"An extraordinary fact is that no kernmantle rope construction of 9, 10, or 11 millimeter diameter has failed simply because of a falling climber."

I've wondered about this. Are there any reported incidents where a rope (in any condition, with any amount of grit in its core) simply snapped on a person?

i shore · · London · Joined May 2018 · Points: 0
Andy Eiter wrote:

"An extraordinary fact is that no kernmantle rope construction of 9, 10, or 11 millimeter diameter has failed simply because of a falling climber."

I've wondered about this. Are there any reported incidents where a rope (in any condition, with any amount of grit in its core) simply snapped on a person?


UIAA article "About Aging of Ropes " in 2000 implied only known cases of rope breaking were due to sulphuric acid (where the type of acid was known).

Jim Titt · · Germany · Joined Nov 2009 · Points: 490
Bob Johnson wrote: Thanks for the link!

@Jim Titt do you know where that paper is located? It seems that the UIAA archive only goes back to 2017

Looks like the UIAA have yet again reorganised their website so nothing is available any more, a link to the pdf is dead. The talk was by Neville McMillan if you want to search further but it was basically as I said above. Incidentally there were equipment standards before the UIAA, for climbing ropes the UK had British Standard BS 3 104:1959 and for bolts the German standard goes back nearly 100yrs- 50kN and a design life of 50 years no less! That standard ceased when Germany unified again and the Euro standards took over.

Caleb Schwarz · · Colorado Springs, CO · Joined Mar 2016 · Points: 120

Not the same but a crazy video none the less

Marc H · · Longmont, CO · Joined May 2007 · Points: 265
Caleb Schwarz wrote: Not the same but a crazy video none the less

Yikes! Did he live?

dave custer · · Unknown Hometown · Joined Nov 2010 · Points: 3,078

Survivable Impact Forces on Human Body Constrained by Full Body Harness
http://www.hse.gov.uk/research/hsl_pdf/2003/hsl03-09.pdf

dave custer · · Unknown Hometown · Joined Nov 2010 · Points: 3,078

Perhaps the Neville McMillan document Jim referenced:
http://web.mit.edu/sp255/www/reference_vault/McMillan_how_strong.pdf

Indeed, the OP is correct; gear strength ratings are based on the maximum forces sustainable by the human spine, and the minimum strength of the high-octane stuff (carabiners, slings) is roughly double the impact force on the climber on account of the rough doubling of the rope tension over the carabiner.

Jim Titt · · Germany · Joined Nov 2009 · Points: 490

That's the one

William R · · Unknown Hometown · Joined Apr 2019 · Points: 8
Marc H wrote:

Yikes! Did he live?

Yes,  From the videos description "As he fell, the single 10mm rope he was using completely sheared while it viciously scraped down the arete. Michele sustained a broken wrist and broken heel bone in the fall and stayed in hospital to recover from his injuries."

Andy Eiter · · Madison, WI · Joined Jul 2014 · Points: 276
dave custer wrote: Perhaps the Neville McMillan document Jim referenced:
http://web.mit.edu/sp255/www/reference_vault/McMillan_how_strong.pdf

Indeed, the OP is correct; gear strength ratings are based on the maximum forces sustainable by the human spine, and the minimum strength of the high-octane stuff (carabiners, slings) is roughly double the impact force on the climber on account of the rough doubling of the rope tension over the carabiner.

"The highest conceivable force in the rope to the climber is
12kN"

Does this mean that the additional stretch (of a proper dynamic rope) from having more rope out outweighs the extra force generated from falling from higher? Even taking a full-rope factor-2 whip won't generate more than 12kN?

Bob Johnson · · Philadelphia, PA · Joined May 2014 · Points: 237
Andy Eiter wrote:

"The highest conceivable force in the rope to the climber is
12kN"

Does this mean that the additional stretch (of a proper dynamic rope) from having more rope out outweighs the extra force generated from falling from higher? Even taking a full-rope factor-2 whip won't generate more than 12kN?

All the ropes I have ever seen for sale have impact forces that don't come anywhere close to 12 kN. Most have impact forces of around 8 kN or so. Mind you, the impact force that is written on the label of a climbing rope means something very specific. What is on the label is the peak force  generated in the UIAA drop test on the very first drop. The drop test is described in detail here: theuiaa.org/safety-standard…;

The drop is only a 1.77 fall factor, but it is a quite violent fall that is not so relevant to a real climbing fall involving squishy human bodies, a belayer that can move and also allow some rope slippage to occur through the device. So the standard is in place so that there is some factor of safety (i.e. the rope will not experience a force close to its breaking strength) involved when using the rope "in the field"

Edit: So to answer your question...I don't think you will see 12 kN even in a factor 2 fall involving a real climber

Andy Eiter · · Madison, WI · Joined Jul 2014 · Points: 276
Bob Johnson wrote:

All the ropes I have ever seen for sale have impact forces that don't come anywhere close to 12 kN. Most have impact forces of around 8 kN or so. Mind you, the impact force that is written on the label of a climbing rope means something very specific. What is on the label is the peak force  generated in the UIAA drop test on the very first drop. The drop test is described in detail here: theuiaa.org/safety-standard…;

The drop is only a 1.77 fall factor, but it is a quite violent fall that is not so relevant to a real climbing fall involving squishy human bodies, a belayer that can move and also allow some rope slippage to occur through the device. So the standard is in place so that there is some factor of safety (i.e. the rope will not experience a force close to its breaking strength) involved when using the rope "in the field"

Right, I'm just curious about the claim that the highest conceivable force would be 12kN. Like, can you not physically generate more than this on a dynamic rope, even if it would never happen in a real-life situation (e.g., climbing the full length of the rope with no pro, then whipping).

NegativeK · · Nevada · Joined Jul 2016 · Points: 40
Andy Eiter wrote:

Right, I'm just curious about the claim that the highest conceivable force would be 12kN. Like, can you not physically generate more than this on a dynamic rope, even if it would never happen in a real-life situation (e.g., climbing the full length of the rope with no pro, then whipping).

Changing the length of the fall doesn't change the fact that it's a factor two. Peak force will be under 12kN, but the climber will experience high forces for a longer period of time.

You can get a fall factor > 2 by doing something absurd like getting the rope stuck behind a flake part way through a screaming whipper -- see multipitchclimbing.com/ -- or your belayer sucking in 9' of rope (lol) and locking off (lol) when you're trying to take a factor two from 10' above the anchor. I'd be curious to know if anyone's survived the hypothetical rope caught behind a flake situation with the rope simply being cut.

Bob Johnson · · Philadelphia, PA · Joined May 2014 · Points: 237

It is always possible to generate larger forces in the climbing rope by simply using a larger mass. The term "highest conceivable force" in the paper is a little bit confusing. On p. 3 of the McMillan paper he describes what he means by "highest conceivable force" and that it is determined empirically: "Investigate the worst conceivable loading that can be applied to an item, in the worse case accident scenario, demand that value (with some margin) as the minimum strength requirement for all components of that type"

So, I think the point of the standard is that, in normal regular usage, in the worst possible scenario, the rope will not exceed 12 kN. If you attached a dump truck to the climbing rope and let it take a factor 2 fall, it would certainly generate a force in excess of 12 kN and increase until the rope itself broke...which occurs around 20 kN if I remember correctly.

Andy Eiter · · Madison, WI · Joined Jul 2014 · Points: 276
NegativeK wrote:

Changing the length of the fall doesn't change the fact that it's a factor two. Peak force will be under 12kN, but the climber will experience high forces for a longer period of time.

I'm trying to imagine how force will change on the spectrum between taking a 1' and a 400' factor-two. Does it change proportionally?

You can get a fall factor > 2 by doing something absurd like getting the rope stuck behind a flake part way through a screaming whipper -- see multipitchclimbing.com/ -- or your belayer sucking in 9' of rope (lol) and locking off (lol) when you're trying to take a factor two from 10' above the anchor. I'd be curious to know if anyone's survived the hypothetical rope caught behind a flake situation with the rope simply being cut.

That's what happened to those folks on El Cap last (this?) year right?



@Bob, good point that I wasn't even thinking about the mass attached to the rope. I'm about 80kg when geared up; I didn't even think of it as a variable.

 It's been a long time since I took physics (and I wasn't that good at it even then); sorry for being a bit slow. It helps to talk it out.

Bob Johnson · · Philadelphia, PA · Joined May 2014 · Points: 237

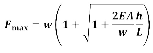
Here's an equation for the maximum force in the climbing rope:

I can show you a derivation if you're interested in that too. But it comes from treating the climbing rope as an ideal spring. E is the modulus of elasticity (a material property), A is the cross-sectional area of the rope, w is the weight of the climber, h is the distance of the fall, and L is the length of rope out. You'll recognize h/L as fall factor.
Sam Skovgaard · · Port Angeles, WA · Joined Oct 2017 · Points: 208

Here's another story of a climber who had his rope sever.  He had a bolt pull and an ascended pop off from the very top of El Cap, fell the full length of his rope (so factor 1).

John Long Story​​​ 

Guideline #1: Don't be a jerk.

Climbing Gear Discussion
Post a Reply to "History and reasoning behind gear ratings"

Log In to Reply
Welcome

Join the Community! It's FREE

Already have an account? Login to close this notice.